printable version
Review A: Regular expressions & automata
Section A.1:
[1]
[2]
[3]
[4]
Section A.2:
[1]
[2]
[3]
Problem A.1.1.
Write a regular expression for each of the following
concepts.
| a. |
strings starting with a digit
|
| b. |
strings containing only alphabetic letters
|
Problem A.1.2.
Write a regular expression for each of the following
concepts.
| a. |
strings containing only alphabetic letters and that start with
the letter c
|
| b. |
strings that containing only digits, but which don't start
with 0
|
| a. |
c[a-zA-Z]*
|
| b. |
[1-9][0-9]*
|
Problem A.1.3.
Write a regular expression that describes strings containing
the lower-case letter e followed by a digit, with
possibly some intervening spaces. Examples include
3e8
,
the 100K
,
and e2
, but not e-5
.
.*e *[0-9].* (There is a space between the e
and the asterisk.)
Problem A.1.4.
Write a regular expression that describes all words of lower-case
letters that begin with w and contain an r. Examples
include weird, word, wrong, and wear, but
not awkward, war-weary, or www.hendrix.edu.
(The latter two are bad because they contain characters that are not
lower-case letters.)
w[a-z]*r[a-z]*
Problem A.2.1.
Design a finite automaton that accepts strings of
a's and b's that end with two
a's.
Problem A.2.2.
Design a finite automaton that accepts strings of
a's and b's that begin and end with the same
letter.
Problem A.2.3.
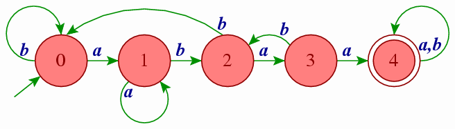
Design a finite automaton that accepts strings of
a's and b's that include the substring
abaa.